Greenhouse growers find themselves under increasing pressure to respond to consumer preferences t... more Greenhouse growers find themselves under increasing pressure to respond to consumer preferences to use environmentally sustainable practices and materials while maintaining profitable operations. These consumer preferences reflect a mounting awareness of the environmental issues, such as climate change and their associated social costs. Ideally, sustainable horticultural production accounts for both traditional economic considerations and such social costs, some of which can be explained through the calculation of global warming potential (GWP). An obvious candidate for a sustainable intervention is the traditional plastic pot, which growers can replace with alternative biocontainers with varying degrees of GWP. This study calculates the variability of direct costs of production using alternative containers to offer a comparison of social and economic costs. We evaluated these direct costs of producing petunia (Petunia ×hybrida) grown in pots made of traditional plastic, bioplastic,...
This study assessed the material and energy inputs required to produce a Petunia ×hybrida plant f... more This study assessed the material and energy inputs required to produce a Petunia ×hybrida plant from initial propagation to delivery at a regional distribution center. Impacts were expressed in terms of their contribution to the carbon footprint or global warming potential (GWP) of a single finished plant in a ≈10-cm diameter container. Beyond this baseline assessment, the study investigated the secondary impacts (e.g., irrigation demand) associated with container type used. Life cycle assessment data were sourced from interviews, published literature, propriety data sources, direct metering at the greenhouse facility, and original findings from a series of university greenhouse experiments. Results show that a traditional plastic container accounts for ≈16% of overall CO2e emissions (0.544 kg) during petunia production. Although the container was a significant contributor to GWP, electrical consumption for supplemental lighting and irrigation during plug production proved to be the...
The demand on agriculture to meet food security goals and mitigate environmental impacts requires... more The demand on agriculture to meet food security goals and mitigate environmental impacts requires multifunctional land-use strategies. Considering both farmer motivations and rural development needs, one option is to transition marginal farmland to perennial crops. In this study, we considered the potential for Multifunctional Perennial Cropping Systems (MPCs) that would simultaneously provide production and ecosystem service benefits. We examined adoption potential of MPCs on marginal farmland through an agricultural landowner survey in the Upper Sangamon River Watershed in Illinois, USA. We identified adoption preferences among landowners in conjunction with socio-demographic characteristics that would facilitate targeted implementation. Hierarchical cluster analysis and discriminant analysis identified landowner categories and key factors affecting adoption potential. Landowner age, appreciation for plant diversity, and future farm management involvement were the strongest predictors of potential MPCs adoption. The landowner categories identified within the survey data, supplemented with focus group discussions, suggested a high adoption potential farmer profile as a young, educated landowner with known marginal land they would consider converting to MPCs for improved soil and water quality conservation.
The effects of several environmental factors on the dissipation, transformation, and mineralizati... more The effects of several environmental factors on the dissipation, transformation, and mineralization of isoxaflutole were investigated in laboratory incubations. In the soil, isoxaflutole hydrolyzed to a diketonitrile derivative, which is the active form of the herbicide. The diketonitrile was then metabolized to an inactive benzoic acid derivative and later into two unknown products, which were found only in small quantities. Degradation of isoxaflutole was faster in soil maintained at-100 or-1500 kPa compared to that in air-dry soil. At 25°C, the half-lives for isoxaflutole were 9.6, 2.4, and 1.5 days in air-dry,-1500 kPa, and-100 kPa moisture regimes, respectively. A simple Arrhenius expression described the response of isoxaflutole transformation (mineralization and transformation) to temperature in the range of 5 to 35°C. An activation energy value (E a) of 67 kJ/mol for isoxaflutole suggested the transformation of the herbicide to the diketonitrile derivative was primarily a chemical reaction. Moreover, biological activity had little effect on the hydrolysis of isoxaflutole, with half-lives of 1.8 and 1.4 days in sterile and nonsterile soil, respectively. However, the transformation of diketonitrile to benzoic acid and the production of the unknown products were greatly reduced in the sterile soil, suggesting one or more biologically mediated processes.
In the United States, interest in urban agriculture has grown dramatically. While community garde... more In the United States, interest in urban agriculture has grown dramatically. While community gardens have sprouted across the landscape, home food gardensarguably an ever-present, more durable form of urban agriculture-have been overlooked, understudied, and unsupported by government agencies, non-governmental organizations, and academics. In part a response to the invisibility of home gardens, this paper is a manifesto for their study in the Global North. It seeks to develop a multiscalar and multidisciplinary research framework that acknowledges the garden's social and ecological or material dimensions. Given the lack of existing research, we draw on the more extensive literature on home gardens in the South and community gardens in the North to develop a set of hypotheses about the social-ecological effects of urban home food gardens in the North. These gardens, we hypothesize, contribute to food security, community development, cultural reproduction, and resilience at multiple scales; conserve agrobiodiversity; and support urban biodiversity. They may also have negative ecological effects, such as stormwater nutrient loading. Because of the entanglement of the social and the ecological or material in the garden, we review three theoretical perspectivessocial ecological systems theory, actor-network theory, and assemblage theory-that have been or could be applied to the multi-scalar and multidisciplinary study of the garden. We also review sampling and analytic methods for conducting home garden research. The paper concludes with a discussion of opportunities to extend the research agenda beyond descriptive analysis, the primary focus of garden research to date.
Community orchards could play a valuable role as nature-based solutions to complex challenges we ... more Community orchards could play a valuable role as nature-based solutions to complex challenges we face today. In these unique plantings, a variety of nut- and fruit-producing trees and berry shrubs are often established together on public spaces to provide the community with healthy, fresh food. Interest in these plantings has been increasing in the United States, even more so since the COVID-19 pandemic highlighted vulnerabilities in our food systems. However, the roots of community orchards can be traced back to Indigenous foodways which have persisted for millennia. Then and now, community orchards support an array of functions, positioning them to contribute to solutions to major challenges related to food security, human health, and climate resilience. In this paper, contemporary applications are considered for Indigenous communities in the US that seek to care for their communities and the environment. A case study of the Osage Orchard project in Pawhuska, OK, USA, highlights t...
This study used life cycle assessment methods (LCA) to assess the carbon footprint of an urban tr... more This study used life cycle assessment methods (LCA) to assess the carbon footprint of an urban tree from propagation to disposal, expanding on recent works focused primarily on inventorying the inputs for woody ornamental nursery production. Urban forest managers from the Chicago metropolitan area were surveyed on their plant selection, planting, maintenance, removal, and disposal practices to generate the model inputs. Alterations to management practices such as the pruning cycle can significantly reduce the age at which a tree changes from being a carbon emitter to being carbon neutral. Highly mechanized tree care practices extend the time to 33 years whereas less mechanized scenarios are 26 years. An annual windshield survey conducted by many municipalities will extend this period by two to three years. Results of this work offer a more accurate assessment of ecosystems services offered by urban forests and serve as a first step in identifying tree care practices which offer an o...
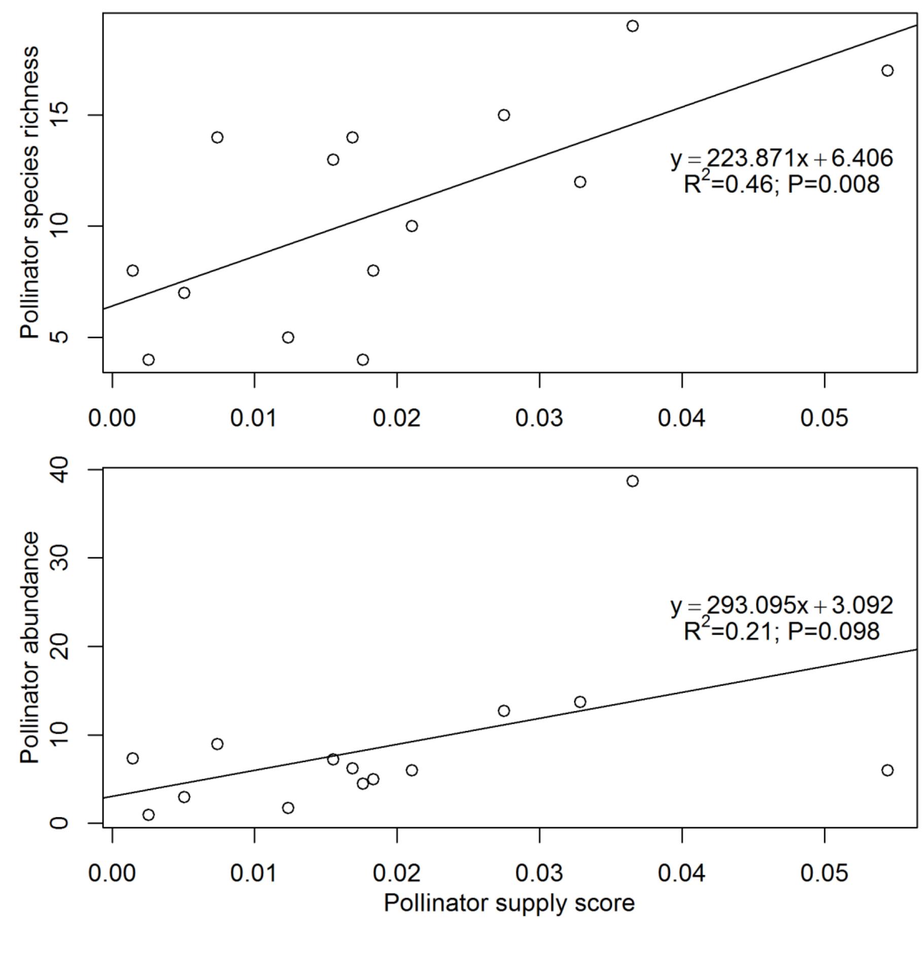
In recent years, biocontainers have been marketed as sustainable alternatives to petroleum-based ... more In recent years, biocontainers have been marketed as sustainable alternatives to petroleum-based containers in the green industry. However, biocontainers constructed with plant materials that are highly porous in nature (e.g., peat, wood fiber, straw) tend to require more frequent irrigation than conventional plastic products. As irrigation water sources become less abundant and more expensive, growers must consider water consumption in any assessment of their economic and environmental viability. This project evaluated plant growth and total water consumption for nine different biocontainers (seven organic alternatives, and two recently developed bioplastic alternatives) and a plastic control used to produce a short-term greenhouse crop, ‘Yellow Madness’ petunia (Petunia ×hybrida). Dry shoot weight and total water consumption differed by container type, with some of the more porous containers (wood fiber, manure, and straw) requiring more water and producing smaller plants by the e...
Nine commercially available biocontainers and a plastic control were evaluated at Fayetteville, A... more Nine commercially available biocontainers and a plastic control were evaluated at Fayetteville, AR, and Crystal Springs, MS, to determine the irrigation interval and total water required to grow a crop of ‘Cooler Grape’ vinca (Catharanthus roseus) with or without the use of plastic shuttle trays. Additionally, the rate at which water passed through the container wall of each container was assessed with or without the use of a shuttle tray. Slotted rice hull, coconut fiber, peat, wood fiber, dairy manure, and straw containers were constructed with water-permeable materials or had openings in the container sidewall. Such properties increased the rate of water loss compared with more impermeable bioplastic, solid rice hull, and plastic containers. This higher rate of water loss resulted in most of the biocontainers having a shorter irrigation interval and a higher water requirement than traditional plastic containers. Placing permeable biocontainers in plastic shuttle trays reduced wat...
Conservation-oriented land practices have long been a strategy for mediating the environmental is... more Conservation-oriented land practices have long been a strategy for mediating the environmental issues resulting from conventional agriculture. However, there is limited economic support and incentive for landowners to transition the sensitive marginal lands that need mitigation the most. To improve this approach, information tools built out of landowner preferences may help facilitate successful long-term adoption of diverse systems that achieve production and conservation goals, such as Multifunctional Perennial Cropping Systems (MPCs). Previous work has recognized MPCs to have the potential for providing both ecosystem services and perennial crops such as fruits, nuts, and grasses on land that landowners would otherwise consider marginal. To prioritize efforts for implementation of MPCs and provide tailored information to landowners, this study introduces a suitability model that identifies marginal land based on soil erosion, crop productivity, and other land traits that are important to landowners. Information provided by this tool can inform land management decisions. The land traits were spatially analyzed using a geographic information system (GIS) and parameterized to encode the magnitude of each variable's effect on MPCs suitability. Applied in the Upper Sangamon River watershed, central Illinois, we identified 18,685 ha of highly suitable cropland for MPCs. An 8.5 m spatial resolution allowed identification of subfield suitability areas, in addition to locating target regions of extensive occurrences of high suitability. The distribution of target areas was often located where crop productivity was low and topographic potential for erosion was high. For 26,743 ha of cropland, potential erosion was estimated to be greater than the soil loss standard, particularly in the northeastern section of the watershed where there was higher relief and peri-urban or riparian areas surrounding cropland. In a scenario in which landowners would implement MPCs on identified target regions, simulated soil erosion was reduced by 56% across the watershed. The model provides a simple and effective management tool for identifying priority areas for MPCs implementation, giving landowners and researchers actionable information to improve upon conservation strategies for marginal cropland.
Biocontainer Use in Petunia xhybrida Greenhouse Production – A Cradle-to-Gate Carbon Footprint Assessment of Secondary Impacts
While biocontainers (i.e., biodegradable, plant-based containers) are marketed as being more sust... more While biocontainers (i.e., biodegradable, plant-based containers) are marketed as being more sustainable than conventional plastic pots, little scientific literature exists to substantiate these claims. Life cycle assessment (LCA) serves as a holistic accounting of all the material/energy inputs and waste/pollution outflows associated with a given product. This presentation draws on LCA methods to assess how secondary production impacts (e.g., irrigation demand) differ as container type changes for the production of a common annual ornamental plant (e.g., Petunia xhybrida). Results show that the container itself accounts for approximately 17% of overall CO2e (i.e.,carbon dioxide equivalent) emissions during petunia production using a conventional plastic pot. Though container was a significant contributor to GWP, electrical consumption for supplemental lighting during plug production and irrigation throughout the production process proved to be the leading sources of CO2e emissions ...
The accuracy of the Content should not be relied upon and should be independently verified with p... more The accuracy of the Content should not be relied upon and should be independently verified with primary sources of information. Taylor and Francis shall not be liable for any losses, actions, claims, proceedings, demands, costs, expenses, damages, and other liabilities whatsoever or howsoever caused arising directly or indirectly in connection with, in relation to or arising out of the use of the Content. This article may be used for research, teaching, and private study purposes. Any substantial or systematic reproduction, redistribution, reselling, loan, sub-licensing, systematic supply, or distribution in any form to anyone is expressly forbidden. Terms &
h i g h l i g h t s Extraction of urban agriculture sites from Google Earth images is highly accu... more h i g h l i g h t s Extraction of urban agriculture sites from Google Earth images is highly accurate. Urban agriculture is an extensive land use type in Chicago. Much of the production area has been previously undocumented. A small percentage of Chicago sites reported to be community gardens produce food. Home gardens constitute the majority of existing food production area in Chicago.
Imidazolinone and Sulfonylurea Resistance in a Biotype of Common Waterhemp (Amaranthus rudis)
Weed Science, 1996
The incidence of weed resistance to acetolactate synthase (ALS) inhibiting herbicides has increas... more The incidence of weed resistance to acetolactate synthase (ALS) inhibiting herbicides has increased in the United States. In 1993, a population of ALS-resistant common waterhemp was discovered after two confirmed applications of an imidazolinone herbicide. Following another imazethapyr application in the glasshouse, the resistant biotype demonstrated 130-fold resistance to imazethapyr at the whole plant level. The concentration of imazethapyr required to inhibit the ALS activity by 50% was 520 times greater for the resistant biotype than the susceptible. Plants also demonstrated cross-resistance to the sulfonylureas, chlorimuron and thifensulfuron, at the whole plant and enzyme levels. This particular discovery is of concern due to the low number of applications of the selection agent (imazaquin 1989, imazethapyr 1992, and imazethapyr in the greenhouse) and the high degree of cross-resistance eliminating several options for weed control.
Flumioxazin and sulfentrazone were compared for phytotoxicity on 15 soybean varieties in a greenh... more Flumioxazin and sulfentrazone were compared for phytotoxicity on 15 soybean varieties in a greenhouse study and four varieties in the field. In the greenhouse, injury from sulfentrazone was greater overall than with flumioxazin, 10% compared with 1%, respectively, when averaged across varieties at the labeled rates. The varieties P9552, P91B01, P9362, and P9305 were more sensitive to sulfentrazone than the 11 other varieties on the basis of visible injury and plant height reductions. Sulfentrazone at 224 g ai/ha (1ϫ rate) reduced plant height 23 to 53% and caused 18 to 38% visible injury on the four sensitive varieties. Visible injury symptoms consisted of stunting, crinkling of leaves, and chlorotic spots. Varieties P9305, P9306, P9352, and P9362 were compared in a field study with flumioxazin at 105, 210, and 420 g ai/ha or sulfentrazone at 224, 448, and 896 g ai/ha, corresponding to 1, 2, and 4ϫ labeled rates. An untreated control of each variety was included for comparison. Contrary to the results of the greenhouse studies, injury from flumioxazin was similar to that from sulfentrazone in the field experiments. In 1998, emergence counts were reduced 19 to 52% with flumioxazin and 27 to 73% with sulfentrazone at the 1ϫ rate. Visible injury and stand count reductions resulting from both herbicides were also apparent in that year. Emergence count reductions, stand count reductions, and visible injury resulting from the herbicides were less severe in 1999. At the 1ϫ rate of each herbicide, yields were not affect in either year, except P9305 treated with sulfentrazone in 1999. At the 4ϫ rate, P9305 was most sensitive to sulfentrazone, as indicated by a 53 and 23% reduction yield in 1998 and 1999, respectively. Avoidance of sensitive varieties will reduce the potential for injury and yield reduction with sulfentrazone, and maybe flumioxazin.
Our master's thesis aims to discuss the different versions of the text known as "The Life of the ... more Our master's thesis aims to discuss the different versions of the text known as "The Life of the Renowned Sir Philip Sidney" or "A Dedication to Sir Philip Sidney", by the English courtier Fulke Greville (1554-1628). Based on materialities (manuscript and print) of our documents, our objective is to contextualize the work to better understand the process of production, circulation and collection. The text was written by the author during the first years of the reign of James I, while the print dates from the turbulent context of the English Revolution (1640-1660), when it was publish by Henry Seile, a royalist bookseller. Our research was organized in two fronts: the manuscripts and the printed versions. In view of the particularities of its different material supports and their contexts, the thesis seeks to discuss how the work has been transformed. Combining reflections on the context and materiality of the manuscript and the print, we aim to contribute to the study of Book History, by understanding the different forms of written communication. In this sense, discussing the materials of the work, as well as its production and circulation processes, allowed us to observe possible differences expressed in the contents of manuscript and print, highlighting adaptations that may have been made due to the reinsertion of the text in its different contexts.
Preemergence Flumioxazin and Pendimethalin and Postemergence Herbicide Systems for Soybean (Glycine max) 1
Weed technology, 2002
Field studies were conducted in 1998 and 1999 at two Illinois locations to compare flumioxazin an... more Field studies were conducted in 1998 and 1999 at two Illinois locations to compare flumioxazin and pendimethalin for preemergence (PRE) weed control and determine the benefit of these herbicides when followed by (fb) postemergence (POST) herbicides, glyphosate, ...
Uploads
Papers by Sarah Lovell